如何測試微量調節器
Part 1 準備工作
天平,精確到0.01g
6個0.9%氯化鈉液袋,600ml
6個儲液裝置,可覆蓋上保鮮膜防止液體蒸發
計時器
帶氣源氣壓表
6套 帶微量調節器 重力輸液器
Part 2 泄露測試
2.1 Open處測試泄露
設定流量調節器設定在“Open”位置,輸液器一端連接壓縮空氣,另一端封閉,浸入(40±1)℃水中,設定大于50Kpa氣壓,持續15s,檢驗是否有氣泡,并在最大刻度值25%,50%,75%最接近數字刻度上重復試驗。
2.2 OFF處測試泄露
設定流量調節器設定在“OFF”位置,輸液器一端連接壓縮空氣,另一端封閉,浸入(40±1)℃水中,施加大于50Kpa氣壓,持續15s,觀察微量調節器下端打開的部分是否有氣泡,后關閉管路打開的一端,依然保持15s的高于50Kpa的氣壓,檢驗流量調節器是否有任何空氣泄露。
Part 3 示值誤差
3.1 確保實驗溫度在23±2℃,在1米靜壓下暢流2小時
3.2 取3只輸液器分別連接液袋,將流量調節器設定為高,中,低三個檔位,比如125ml,80ml 和20ml,1H后稱重計算燒杯中的液體體積。
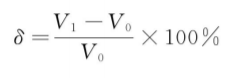
示值誤差計算方法如下:
比如設定刻度為125ml,實際1小時流量為110ml,則誤差為(110-125)/125*100%=-12%
Part 4 流量穩定性
4.1 選用3條輸液器,分別選定20ml, 80ml, 125ml 三個刻度
4.2在同樣的1M靜壓頭下,保持輸液器暢流至少15分鐘后開始試驗,持續實驗6個小時,用稱重法計算每個小時的液體體積。
Part 5 標準對比- YY/T 0286.6 VS ISO8536-13
YY為國內行業標準,ISO為國際通用標準,上面兩個標準都針對流量調節器。
YY/T 0286.6 有兩個版本,2020版和2009版,新版在流量穩定性的測試方法有改變,管控上更松,2009版是要求對比計算一個小時內前30分鐘和后30分鐘的流量來確定穩定性,2020版本則完全參考了ISO8536-13中規定的測試方法,要求對比計算連續6個小時的每個小時的流量穩定性。
